Официальное опубликование правовых актов
ОФИЦИАЛЬНОЕ ОПУБЛИКОВАНИЕ
Приказ Департамента жилищно-коммунального комплекса и энергетики Ханты-Мансийского автономного округа – Югры от 16.06.2022 № 9-нп
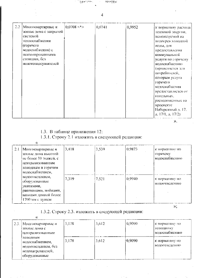
"О внесении изменений в приложения к приказу Департамента жилищно-коммунального комплекса и энергетики Ханты-Мансийского автономного округа – Югры от 17 июля 2019 года № 10-нп "Об утверждении понижающих коэффициентов к нормативам потребления коммунальных услуг и нормативам расхода тепловой энергии, используемой на подогрев холодной воды, для предоставления коммунальной услуги по горячему водоснабжению и признании утратившими силу некоторых приказов Департамента жилищно-коммунального комплекса и энергетики Ханты-Мансийского автономного округа – Югры"
(Зарегистрирован 22.06.2022 № 6187)
Номер опубликования: 8601202206270004
Дата опубликования: 27.06.2022
Страница №4 из 15:
Увеличить