Официальное опубликование правовых актов
ОФИЦИАЛЬНОЕ ОПУБЛИКОВАНИЕ
Приказ Департамента строительства Ханты-Мансийского автономного округа – Югры от 10.06.2022 № 25-нп
"Об утверждении документации по планировке территории и внесении изменения в приказ Департамента строительства Ханты-Мансийского автономного округа – Югры от 22 ноября 2021 года № 32-нп "Об утверждении документации по планировке территории и внесении изменений в приказ Департамента строительства Ханты-Мансийского автономного округа – Югры от 8 ноября 2018 года № 23-нп "Об утверждении документации по планировке территории"
(Зарегистрирован 15.06.2022 № 6162)
Номер опубликования: 8601202206220004
Дата опубликования: 22.06.2022
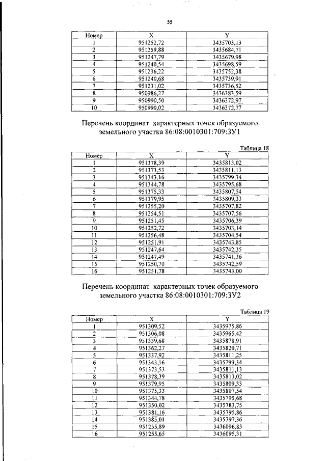
Страница №55 из 58:
Увеличить