Официальное опубликование правовых актов
ОФИЦИАЛЬНОЕ ОПУБЛИКОВАНИЕ
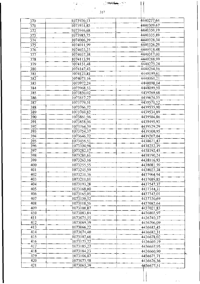
Приказ Департамента строительства Ханты-Мансийского автономного округа – Югры от 29.12.2021 № 41-нп
"Об утверждении документации по планировке территории"
(Зарегистрирован 13.01.2022 № 5920)
Номер опубликования: 8601202201170002
Дата опубликования: 17.01.2022
Страница №317 из 423:
Увеличить