Официальное опубликование правовых актов
ОФИЦИАЛЬНОЕ ОПУБЛИКОВАНИЕ
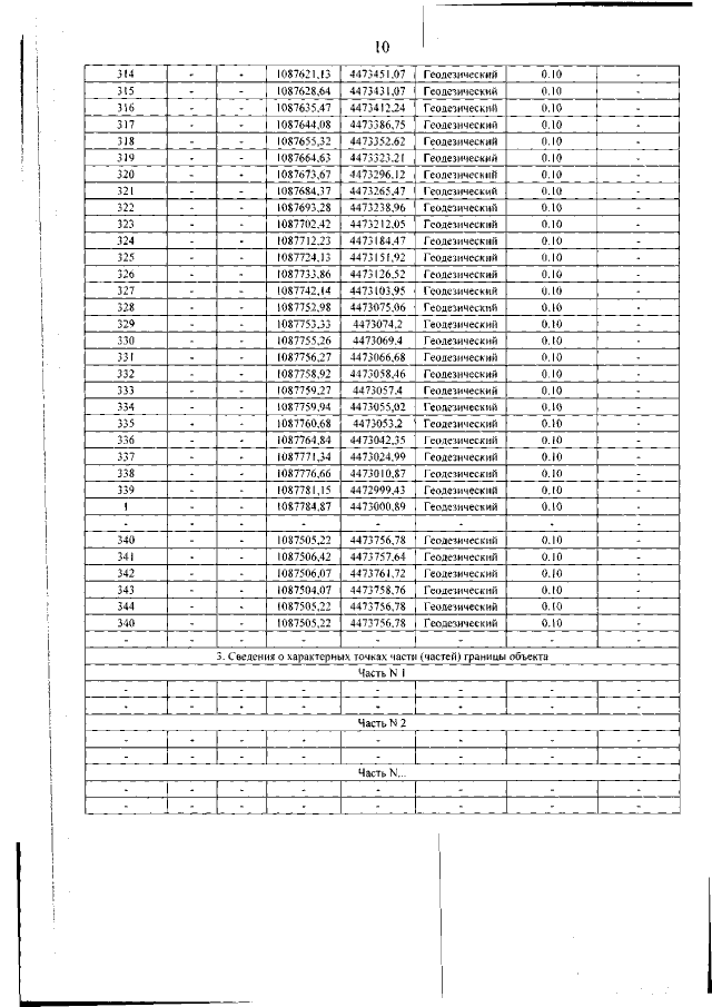
Приказ Департамента по управлению государственным имуществом Ханты-Мансийского автономного округа - Югры от 26.11.2021 № 26-нп
"Об изменении границ охранной зоны с реестровым номером 86:18-6.24 газораспределительной сети, находящейся в собственности акционерного общества "СибурТюменьГаз", и наложении ограничений (обременений) на входящие в нее земельные участки"
(Зарегистрирован 30.11.2021 № 5797)
Номер опубликования: 8601202112070001
Дата опубликования: 07.12.2021
Страница №10 из 26:
Увеличить