Официальное опубликование правовых актов
ОФИЦИАЛЬНОЕ ОПУБЛИКОВАНИЕ
Приказ Департамента строительства Ханты-Мансийского автономного округа – Югры от 07.09.2021 № 23-нп
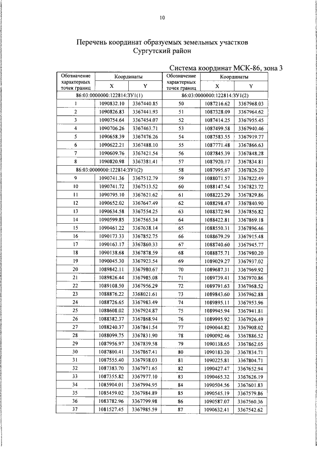
"О внесении изменений в приказ Департамента строительства Ханты-Мансийского автономного округа — Югры от 17 марта 2020 года № 7-нп "Об утверждении документации по планировке территории и внесении изменений в приказ Департамента строительства Ханты- Мансийского автономного округа — Югры от 19 декабря 2019 года № 27-нп "Об утверждении документации по планировке территории и внесении изменений в некоторые приказы Департамента строительства Ханты-Мансийского автономного округа — Югры"
(Зарегистрирован 13.09.2021 № 5648)
Номер опубликования: 8601202109170001
Дата опубликования: 17.09.2021
Страница №10 из 173:
Увеличить