Официальное опубликование правовых актов
ОФИЦИАЛЬНОЕ ОПУБЛИКОВАНИЕ
Приказ Департамента строительства Ханты-Мансийского автономного округа – Югры от 17.05.2021 № 11-нп
"Об утверждении документации по планировке территории и внесении изменений в некоторые приказы Департамента строительства Ханты-Мансийского автономного округа — Югры"
(Зарегистрирован 21.05.2021 № 5502)
Номер опубликования: 8601202105280001
Дата опубликования: 28.05.2021
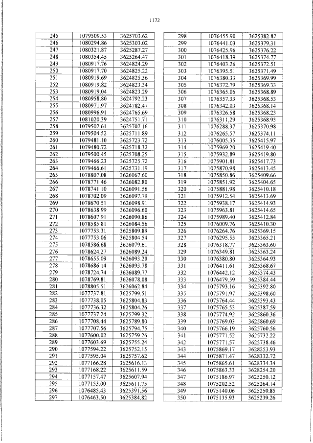
Страница №1172 из 1199:
Увеличить