Официальное опубликование правовых актов
ОФИЦИАЛЬНОЕ ОПУБЛИКОВАНИЕ
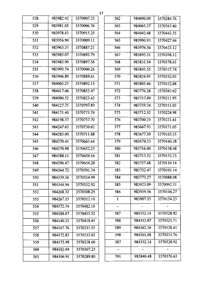
Приказ Департамента по управлению государственным имуществом Ханты-Мансийского автономного округа - Югры от 25.08.2020 № 17-нп
"Об утверждении границ охранных зон газораспределительных сетей объектов, находящихся в собственности общества с ограниченной ответственностью "Сургутгаз", и наложении ограничений (обременений) на входящие в них земельные участки"
(Зарегистрирован 28.08.2020 № 5125)
Номер опубликования: 8601202009010001
Дата опубликования: 01.09.2020
Страница №17 из 25:
Увеличить