Официальное опубликование правовых актов
ОФИЦИАЛЬНОЕ ОПУБЛИКОВАНИЕ
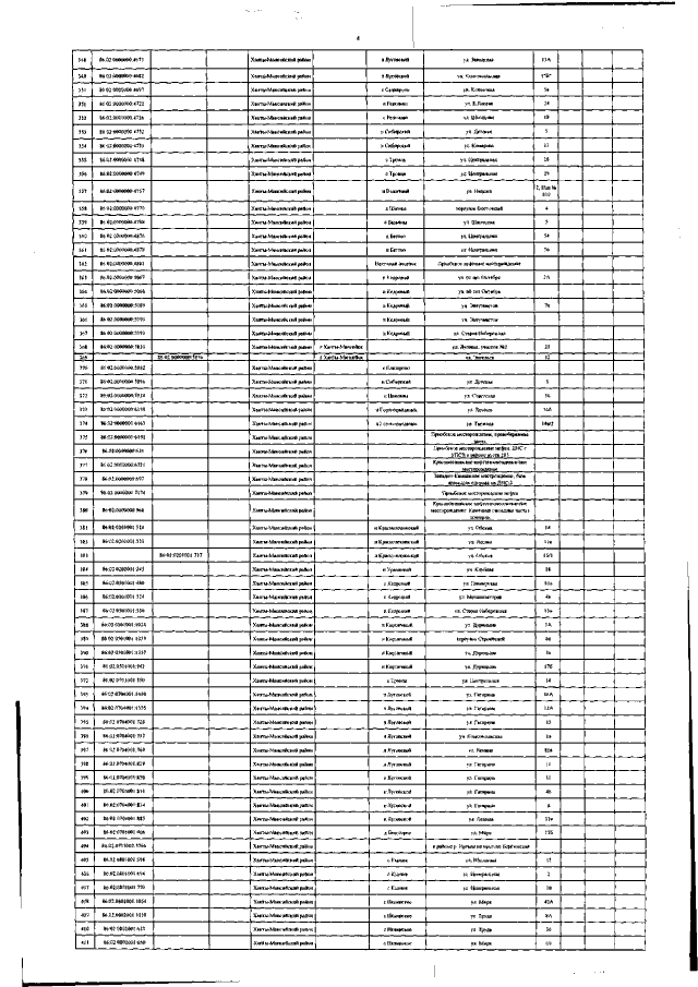
Приказ Департамента финансов Ханты-Мансийского автономного округа - Югры от 21.11.2019 № 21-нп
"Об утверждении перечня объектов недвижимого имущества, в отношении которых налоговая база определяется как кадастровая стоимость, на 2020 год"
(Зарегистрирован 22.11.2019 № 4662)
Номер опубликования: 8601201911280001
Дата опубликования: 28.11.2019
Страница №5 из 104:
Увеличить