Официальное опубликование правовых актов
ОФИЦИАЛЬНОЕ ОПУБЛИКОВАНИЕ
Приказ Департамента строительства Ханты-Мансийского автономного округа – Югры от 31.10.2019 № 24-нп
"Об утверждении документации по планировке территории для размещения объектов регионального значения Ханты-Мансийского автономного округа – Югры"
(Зарегистрирован 08.11.2019 № 4631)
Номер опубликования: 8601201911130001
Дата опубликования: 13.11.2019
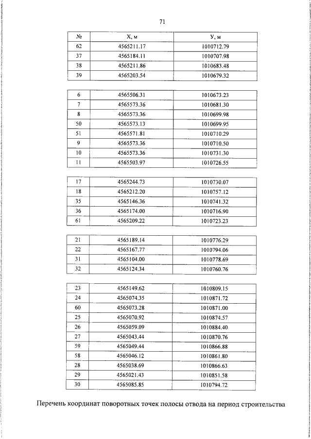
Страница №71 из 158:
Увеличить