Официальное опубликование правовых актов
ОФИЦИАЛЬНОЕ ОПУБЛИКОВАНИЕ
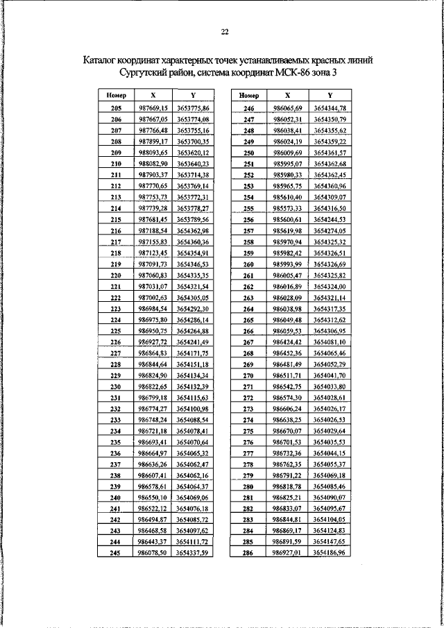
Приказ Департамента строительства Ханты-Мансийского автономного округа – Югры от 13.08.2019 № 18-нп
"Об утверждении документации по планировке территории и внесении изменений в некоторые приказы Департамента строительства Ханты- Мансийского автономного округа — Югры"
(Зарегистрирован 16.08.2019 № 4552)
Номер опубликования: 8601201908210003
Дата опубликования: 21.08.2019
Страница №22 из 609:
Увеличить