Официальное опубликование правовых актов
ОФИЦИАЛЬНОЕ ОПУБЛИКОВАНИЕ
Приказ Департамента недропользования и природных ресурсов Ханты-Мансийского автономного округа - Югры от 28.12.2018 № 67-нп
"Об утверждении лесохозяйственного регламента Березовского лесничества и признании утратившими силу некоторых приказов Департамента природных ресурсов и несырьевого сектора экономики Ханты-Мансийского автономного округа – Югры"
(Зарегистрирован 11.01.2019 № 4228)
Номер опубликования: 8601201901180007
Дата опубликования: 18.01.2019
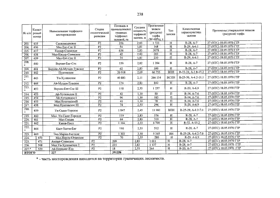
Страница №238 из 243:
Увеличить