Официальное опубликование правовых актов
ОФИЦИАЛЬНОЕ ОПУБЛИКОВАНИЕ
Приказ Департамента недропользования и природных ресурсов Ханты-Мансийского автономного округа - Югры от 21.12.2018 № 59-нп
"Об утверждении лесохозяйственного регламента Сургутского лесничества и признании утратившими силу некоторых приказов Департамента природных ресурсов и несырьевого сектора экономики Ханты-Мансийского автономного округа – Югры"
(Зарегистрирован 27.12.2018 № 4192)
Номер опубликования: 8601201812290013
Дата опубликования: 29.12.2018
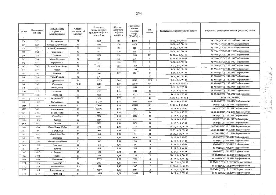
Страница №254 из 260:
Увеличить