Официальное опубликование правовых актов
ОФИЦИАЛЬНОЕ ОПУБЛИКОВАНИЕ
Приказ Департамента недропользования и природных ресурсов Ханты-Мансийского автономного округа - Югры от 24.12.2018 № 62-нп
"Об утверждении лесохозяйственного регламента Нижневартовского лесничества и признании утратившими силу некоторых приказов Департамента природных ресурсов и несырьевого сектора экономики Ханты-Мансийского автономного округа – Югры"
(Зарегистрирован 27.12.2018 № 4189)
Номер опубликования: 8601201812290007
Дата опубликования: 29.12.2018
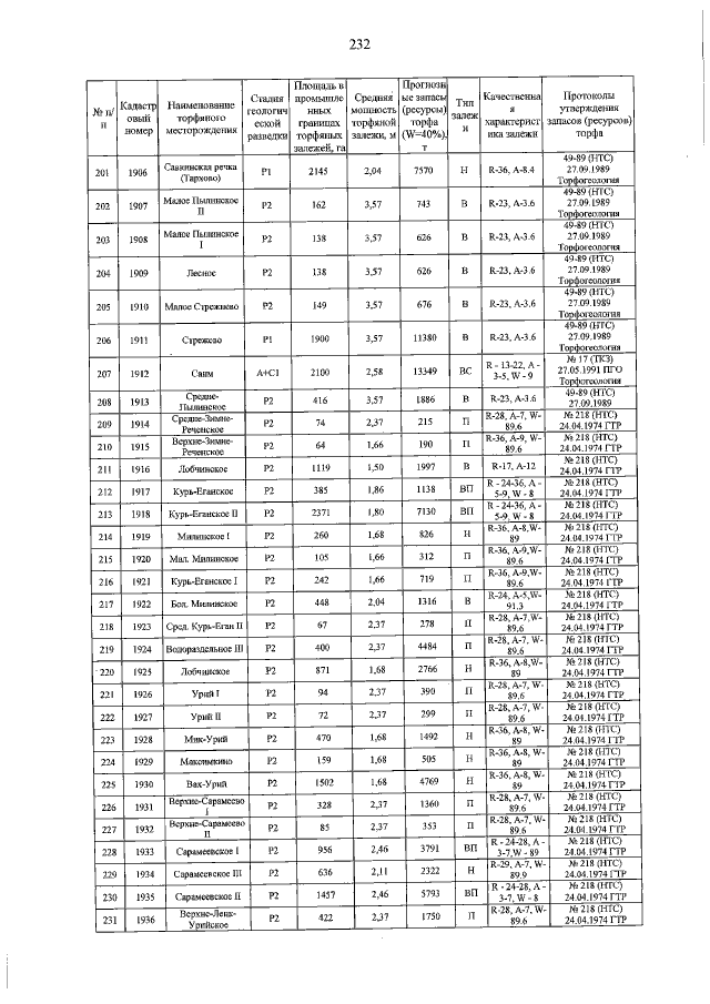
Страница №232 из 240:
Увеличить