Официальное опубликование правовых актов
ОФИЦИАЛЬНОЕ ОПУБЛИКОВАНИЕ
Приказ Департамента строительства Ханты-Мансийского автономного округа – Югры от 19.12.2018 № 26-нп
"Об утверждении документации по планировке территории"
(Зарегистрирован 26.12.2018 № 4183)
Номер опубликования: 8601201812290001
Дата опубликования: 29.12.2018
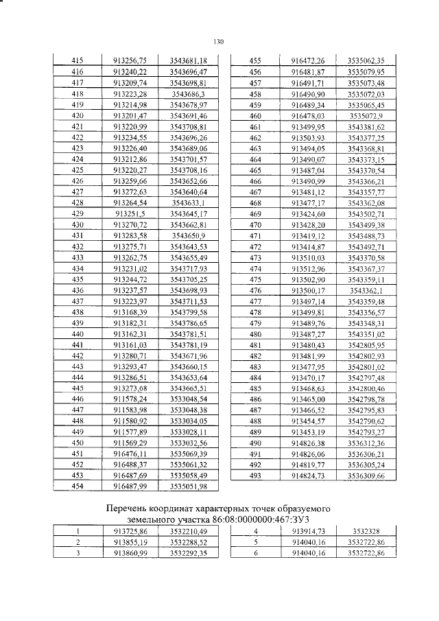
Страница №130 из 132:
Увеличить