Официальное опубликование правовых актов
ОФИЦИАЛЬНОЕ ОПУБЛИКОВАНИЕ
Приказ Департамента недропользования и природных ресурсов Ханты-Мансийского автономного округа - Югры, Департамента по управлению государственным имуществом Ханты-Мансийского автономного округа - Югры от 03.09.2018 № 39-нп/10-нп
"Об установлении границ придорожной полосы автомобильной дороги общего пользования регионального значения Ханты-Мансийского автономного округа — Югры"
(Зарегистрирован 11.09.2018 № 3998)
Номер опубликования: 8601201809180002
Дата опубликования: 18.09.2018
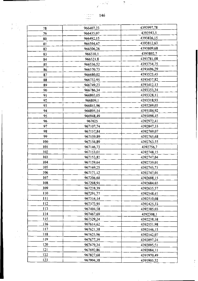
Страница №146 из 158:
Увеличить