Официальное опубликование правовых актов
ОФИЦИАЛЬНОЕ ОПУБЛИКОВАНИЕ
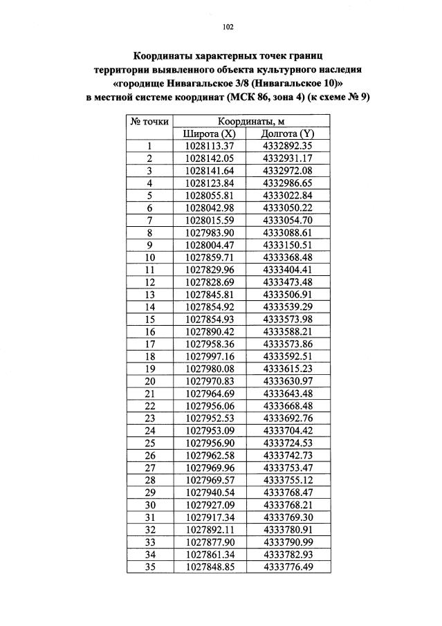
Приказ Службы государственной охраны объектов культурного наследия Ханты-Мансийского автономного округа - Югры от 27.07.2018 № 12-нп
"Об утверждении границ территорий и установлении особого режима использования земельных участков в границах территорий выявленных объектов культурного наследия, расположенных в Нижневартовском районе"
(Зарегистрирован 30.07.2018 № 3958)
Номер опубликования: 8601201808030003
Дата опубликования: 03.08.2018
Страница №102 из 168:
Увеличить