Официальное опубликование правовых актов
ОФИЦИАЛЬНОЕ ОПУБЛИКОВАНИЕ
Постановление Правительства Ханты-Мансийского автономного округа - Югры от 24.12.2025 № 539-п
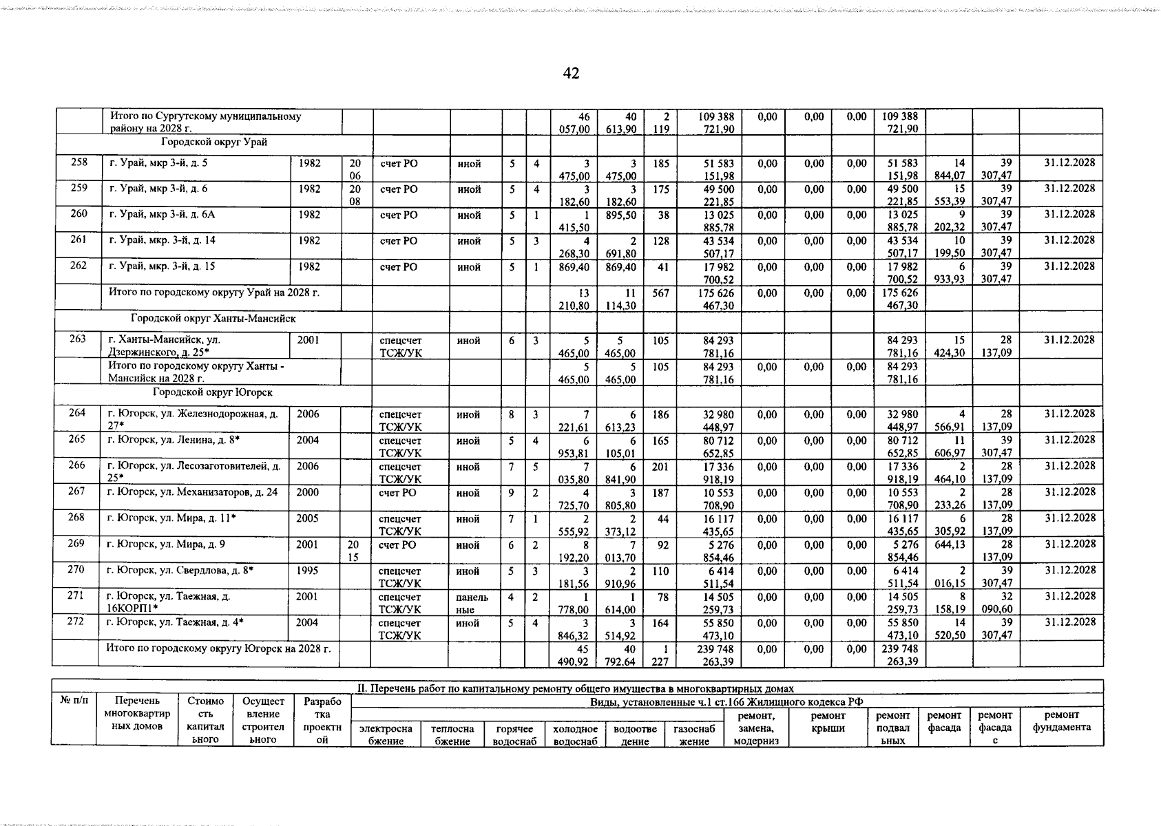
"О внесении изменения в постановление Правительства Ханты-Мансийского автономного округа – Югры от 25 ноября 2025 года № 468-п "О краткосрочном плане реализации программы капитального ремонта общего имущества в многоквартирных домах, расположенных на территории Ханты-Мансийского автономного округа – Югры, на 2026 – 2028 годы"
Номер опубликования: 8600202512270004
Дата опубликования: 27.12.2025
Страница №42 из 120:
Увеличить