Официальное опубликование правовых актов
ОФИЦИАЛЬНОЕ ОПУБЛИКОВАНИЕ
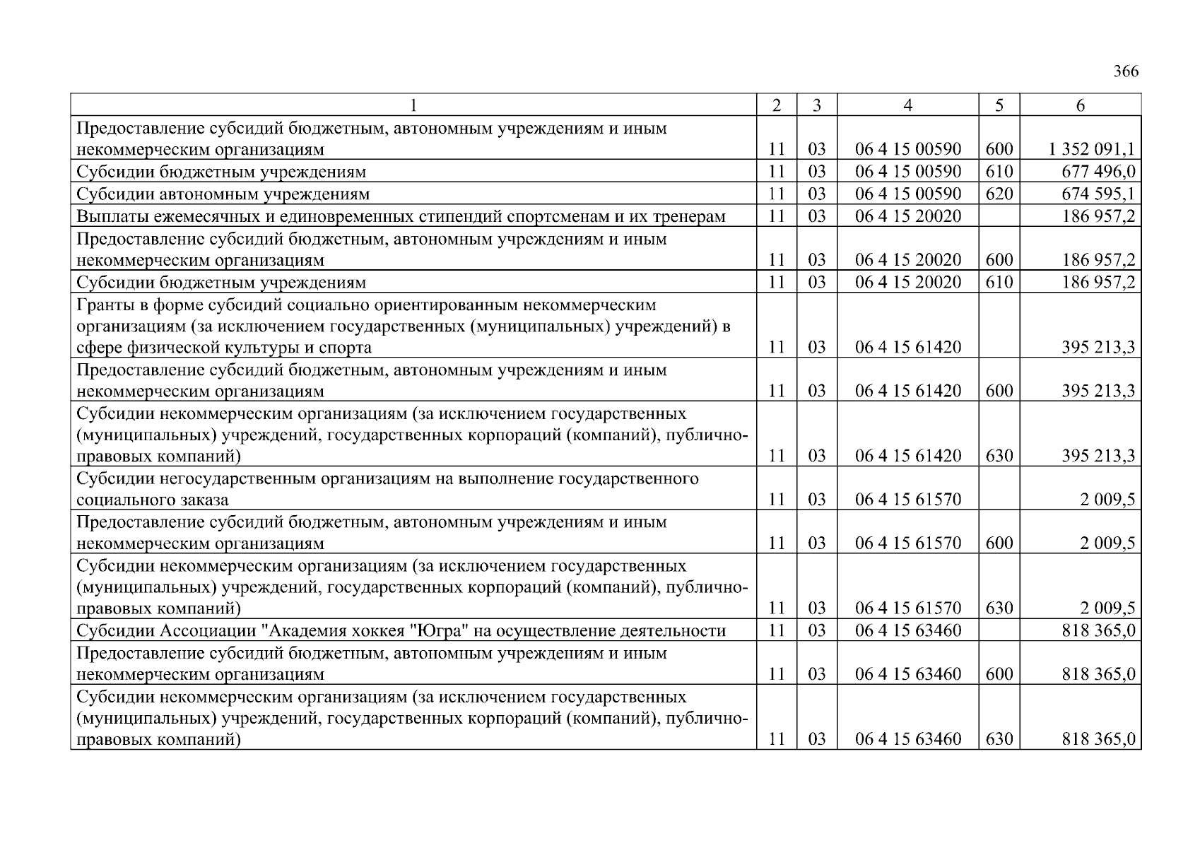
Закон Ханты-Мансийского автономного округа - Югры от 27.11.2025 № 87-оз
"О бюджете Ханты-Мансийского автономного округа – Югры на 2026 год и на плановый период 2027 и 2028 годов"
Номер опубликования: 8600202512010001
Дата опубликования: 01.12.2025
Страница №366 из 1690:
Увеличить