Официальное опубликование правовых актов
ОФИЦИАЛЬНОЕ ОПУБЛИКОВАНИЕ
Постановление Правительства Ханты-Мансийского автономного округа - Югры от 25.08.2025 № 337-п
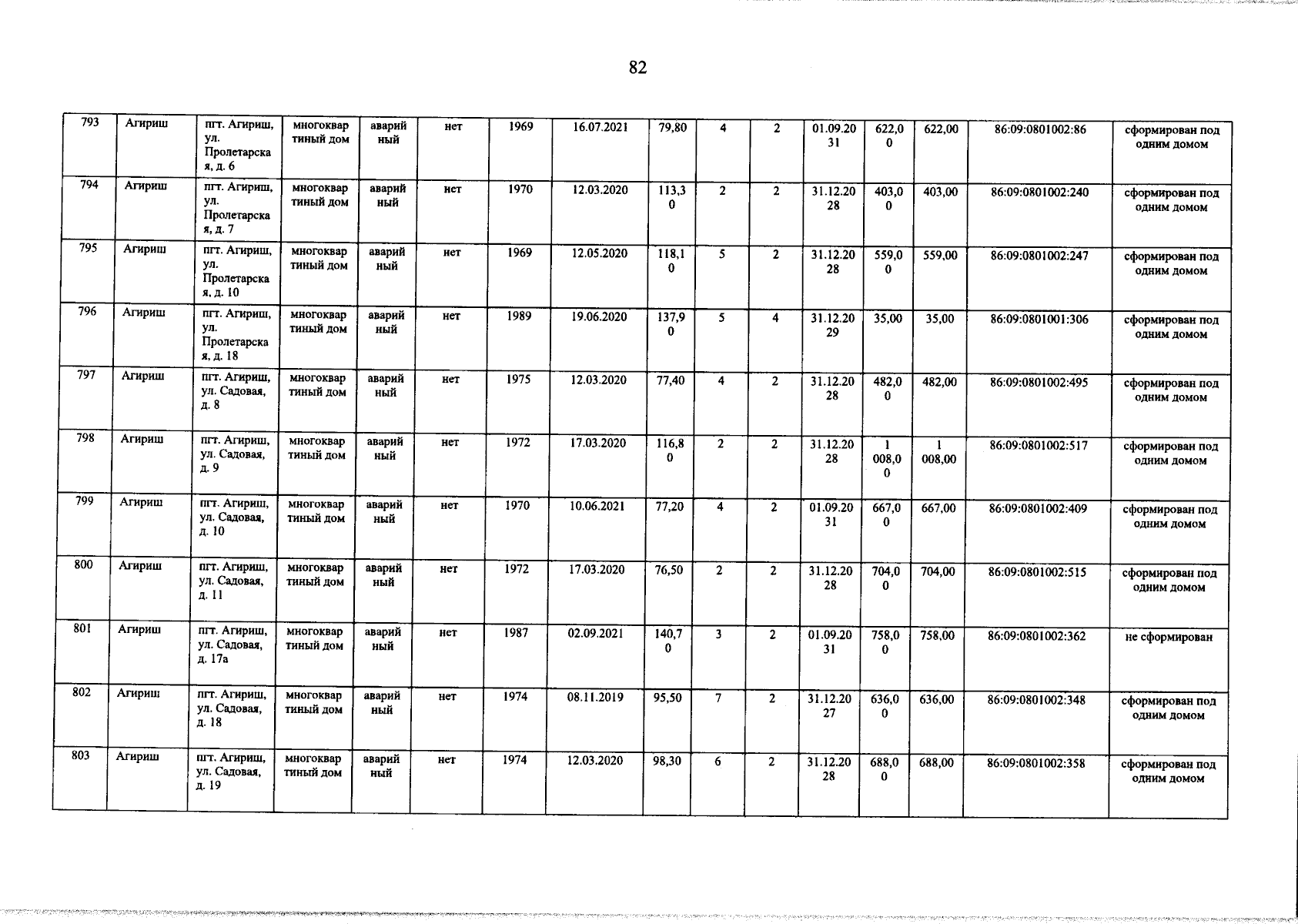
"О внесении изменений в приложение к постановлению Правительства Ханты-Мансийского автономного округа – Югры от 1 сентября 2024 года № 325-п "Об адресной программе Ханты-Мансийского автономного округа – Югры по переселению граждан из аварийного жилищного фонда на 2024 – 2030 годы"
Номер опубликования: 8600202508280007
Дата опубликования: 28.08.2025
Страница №82 из 223:
Увеличить