Официальное опубликование правовых актов
ОФИЦИАЛЬНОЕ ОПУБЛИКОВАНИЕ
Постановление Правительства Ханты-Мансийского автономного округа - Югры от 02.07.2025 № 232-п
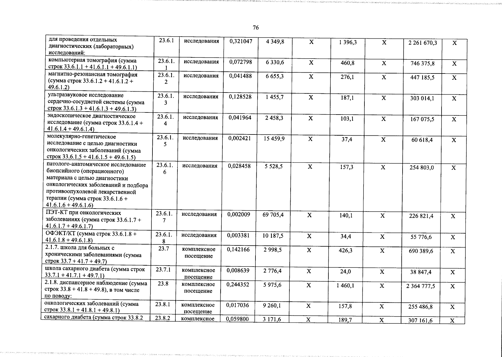
"О внесении изменений в приложение к постановлению Правительства Ханты-Мансийского автономного округа – Югры от 28 декабря 2024 года № 567-п "О Территориальной программе государственных гарантий бесплатного оказания гражданам медицинской помощи в Ханты-Мансийском автономном округе – Югре на 2025 год и на плановый период 2026 и 2027 годов"
Номер опубликования: 8600202507070015
Дата опубликования: 07.07.2025
Страница №76 из 100:
Увеличить