Официальное опубликование правовых актов
ОФИЦИАЛЬНОЕ ОПУБЛИКОВАНИЕ
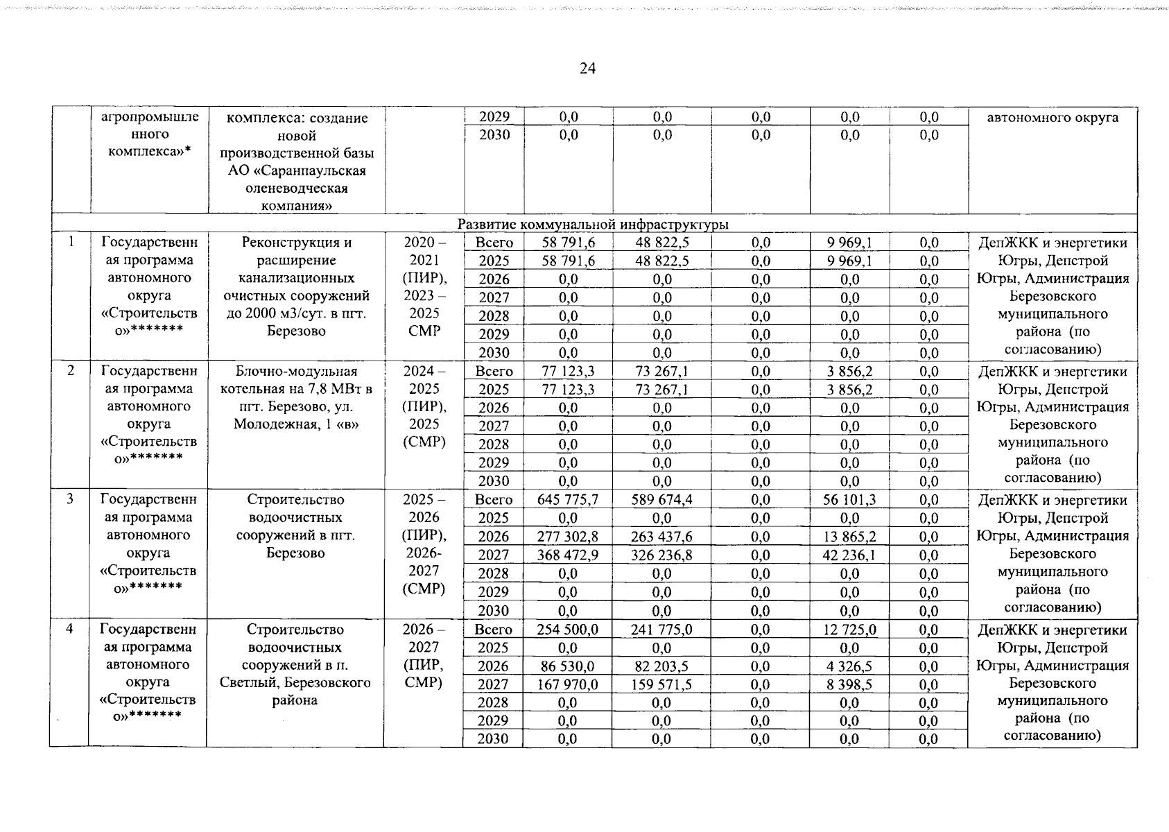
Постановление Правительства Ханты-Мансийского автономного округа - Югры от 30.04.2025 № 158-п
"О государственной (комплексной) программе Ханты-Мансийского автономного округа – Югры "Развитие Арктической зоны в Югре"
Номер опубликования: 8600202505050007
Дата опубликования: 05.05.2025
Страница №24 из 29:
Увеличить