Официальное опубликование правовых актов
ОФИЦИАЛЬНОЕ ОПУБЛИКОВАНИЕ
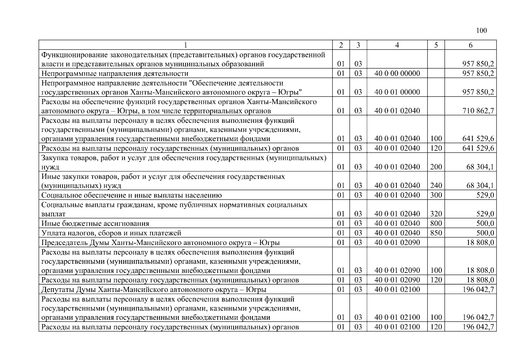
Закон Ханты-Мансийского автономного округа - Югры от 19.12.2024 № 98-оз
"О внесении изменений в Закон Ханты-Мансийского автономного округа – Югры "О бюджете Ханты-Мансийского автономного округа – Югры на 2024 год и на плановый период 2025 и 2026 годов"
Номер опубликования: 8600202412190008
Дата опубликования: 19.12.2024
Страница №100 из 1438:
Увеличить