Официальное опубликование правовых актов
ОФИЦИАЛЬНОЕ ОПУБЛИКОВАНИЕ
Постановление Правительства Ханты-Мансийского автономного округа - Югры от 16.12.2024 № 488-п
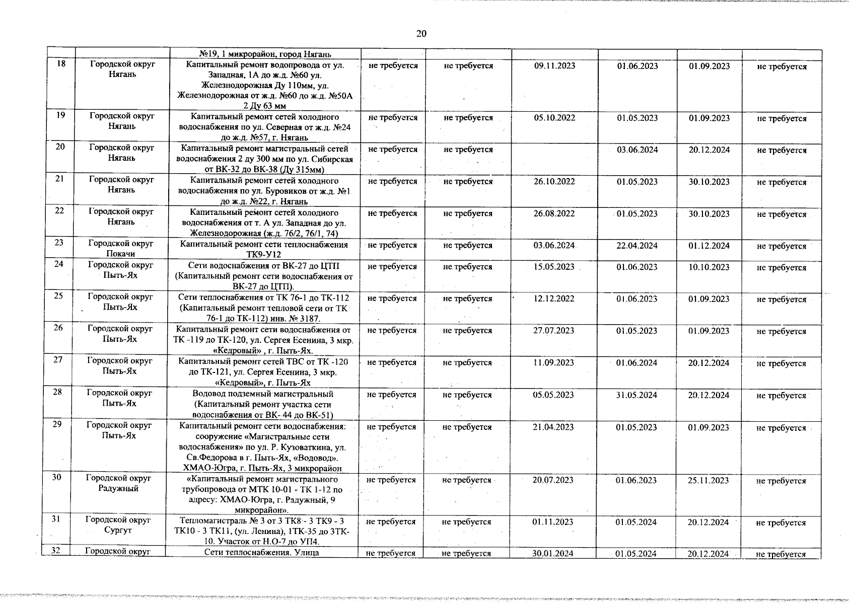
"О внесении изменений в приложение к постановлению Правительства Ханты-Мансийского автономного округа – Югры от 20 января 2023 года № 27-п "О региональной программе Ханты-Мансийского автономного округа – Югры "Модернизация систем коммунальной инфраструктуры на 2023 – 2027 годы"
Номер опубликования: 8600202412190004
Дата опубликования: 19.12.2024
Страница №20 из 53:
Увеличить