Официальное опубликование правовых актов
ОФИЦИАЛЬНОЕ ОПУБЛИКОВАНИЕ
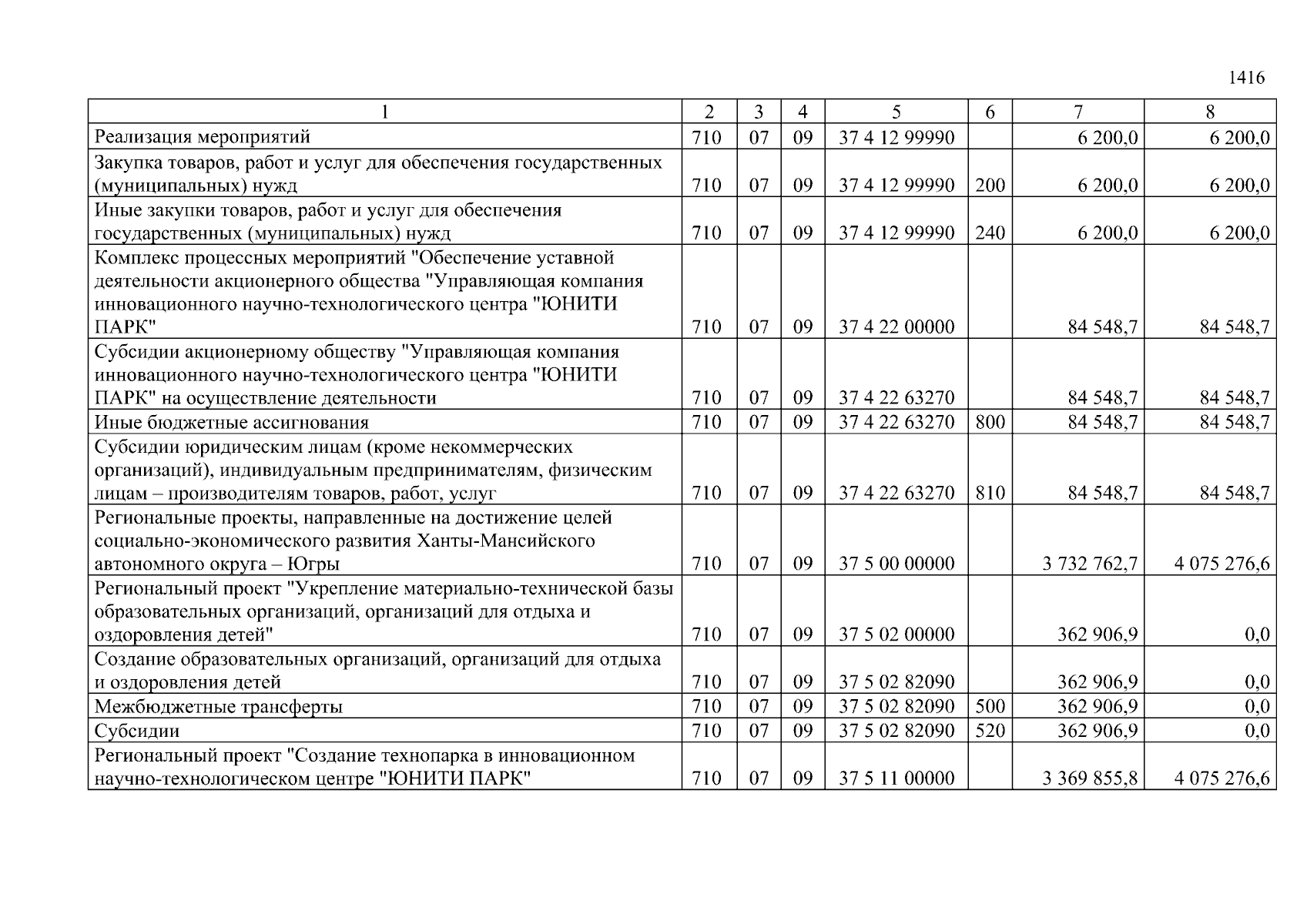
Закон Ханты-Мансийского автономного округа - Югры от 28.11.2024 № 80-оз
"О бюджете Ханты-Мансийского автономного округа – Югры на 2025 год и на плановый период 2026 и 2027 годов"
Номер опубликования: 8600202412020040
Дата опубликования: 02.12.2024
Страница №1416 из 1669:
Увеличить