Официальное опубликование правовых актов
ОФИЦИАЛЬНОЕ ОПУБЛИКОВАНИЕ
Постановление Правительства Ханты-Мансийского автономного округа - Югры от 08.11.2024 № 404-п
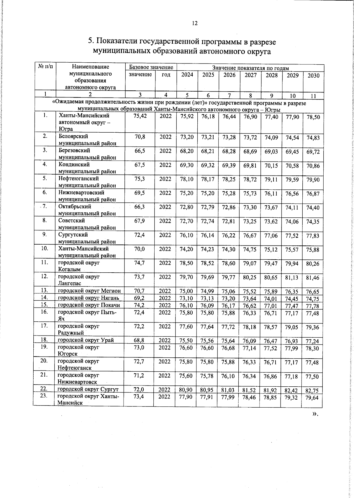
"О внесении изменений в приложение к постановлению Правительства Ханты-Мансийского автономного округа – Югры от 10 ноября 2023 года № 558-п "О государственной программе Ханты-Мансийского автономного округа – Югры "Современное здравоохранение"
Номер опубликования: 8600202411140008
Дата опубликования: 14.11.2024
Страница №12 из 13:
Увеличить