Официальное опубликование правовых актов
ОФИЦИАЛЬНОЕ ОПУБЛИКОВАНИЕ
Постановление Правительства Ханты-Мансийского автономного округа - Югры от 25.09.2024 № 349-п
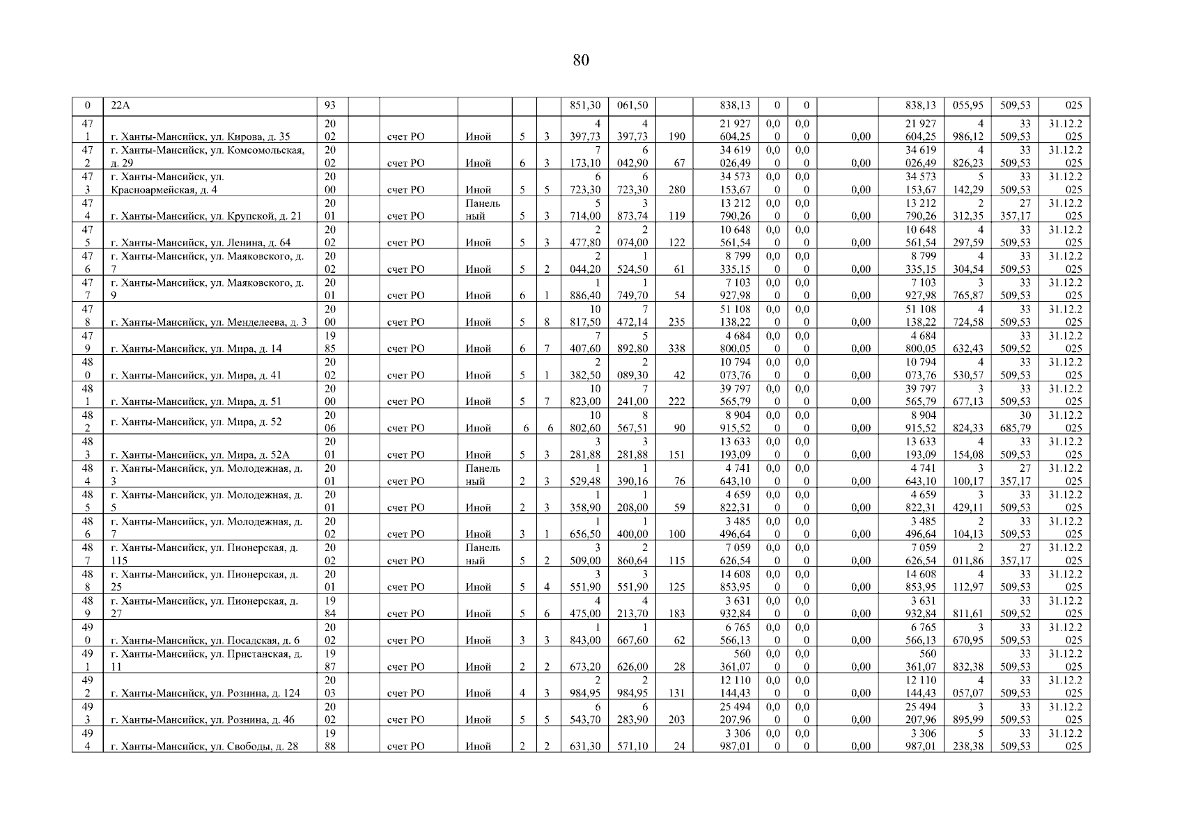
"О внесении изменения в постановление Правительства Ханты-Мансийского автономного округа – Югры от 25 марта 2022 года № 102-п "О краткосрочном плане реализации программы капитального ремонта общего имущества в многоквартирных домах, расположенных на территории Ханты-Мансийского автономного округа – Югры, на 2023 – 2025 годы"
Номер опубликования: 8600202409300019
Дата опубликования: 30.09.2024
Страница №80 из 243:
Увеличить