Официальное опубликование правовых актов
ОФИЦИАЛЬНОЕ ОПУБЛИКОВАНИЕ
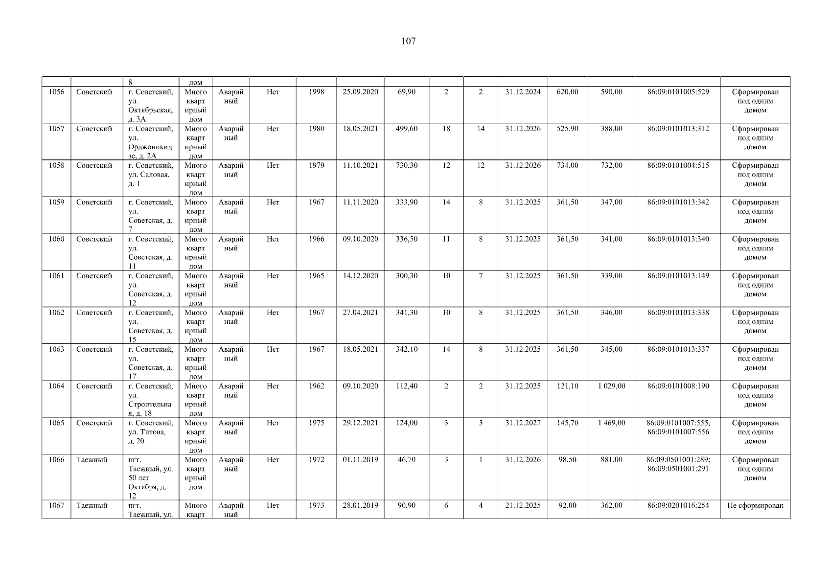
Постановление Правительства Ханты-Мансийского автономного округа - Югры от 01.09.2024 № 325-п
"Об адресной программе Ханты-Мансийского автономного округа – Югры по переселению граждан из аварийного жилищного фонда на 2024 – 2030 годы"
Номер опубликования: 8600202409040001
Дата опубликования: 04.09.2024
Страница №107 из 209:
Увеличить