Официальное опубликование правовых актов
ОФИЦИАЛЬНОЕ ОПУБЛИКОВАНИЕ
Постановление Правительства Ханты-Мансийского автономного округа - Югры от 07.07.2024 № 239-п
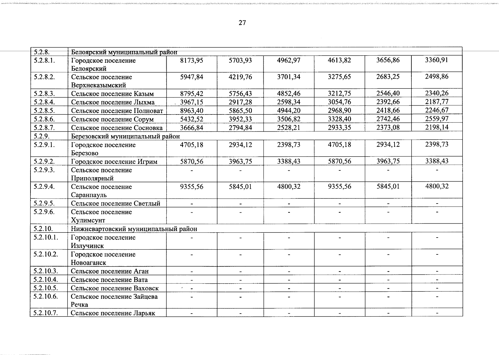
"О внесении изменений в постановление Правительства Ханты-Мансийского автономного округа – Югры от 14 декабря 2012 года № 505-п "О региональных стандартах стоимости жилищно-коммунальных услуг"
Номер опубликования: 8600202407110001
Дата опубликования: 11.07.2024
Страница №27 из 29:
Увеличить