Официальное опубликование правовых актов
ОФИЦИАЛЬНОЕ ОПУБЛИКОВАНИЕ
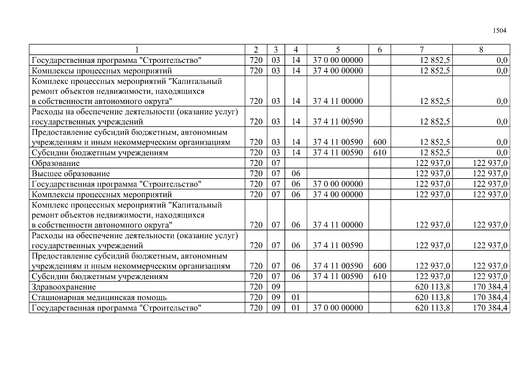
Закон Ханты-Мансийского автономного округа - Югры от 27.06.2024 № 41-оз
"О внесении изменений в Закон Ханты-Мансийского автономного округа — Югры "О бюджете Ханты-Мансийского автономного округа — Югры на 2024 год и на плановый период 2025 и 2026 годов"
Номер опубликования: 8600202407010003
Дата опубликования: 01.07.2024
Страница №1504 из 1568:
Увеличить