Официальное опубликование правовых актов
ОФИЦИАЛЬНОЕ ОПУБЛИКОВАНИЕ
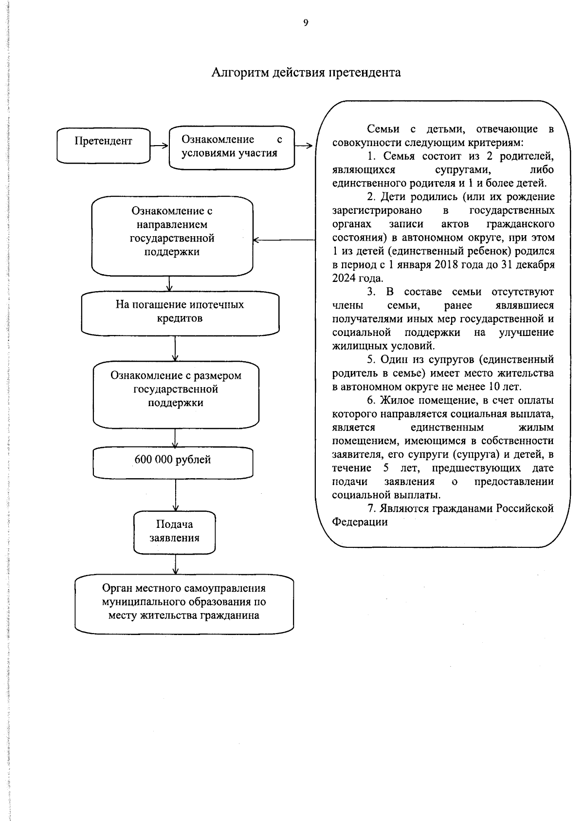
Постановление Правительства Ханты-Мансийского автономного округа - Югры от 13.02.2024 № 46-п
"О внесении изменений в постановление Правительства Ханты-Мансийского автономного округа – Югры от 29 декабря 2020 года № 643-п "О мерах по реализации государственной программы Ханты-Мансийского автономного округа – Югры "Развитие жилищной сферы"
Номер опубликования: 8600202402160002
Дата опубликования: 16.02.2024
Страница №9 из 211:
Увеличить