Официальное опубликование правовых актов
ОФИЦИАЛЬНОЕ ОПУБЛИКОВАНИЕ
Постановление Правительства Ханты-Мансийского автономного округа - Югры от 28.12.2023 № 683-п
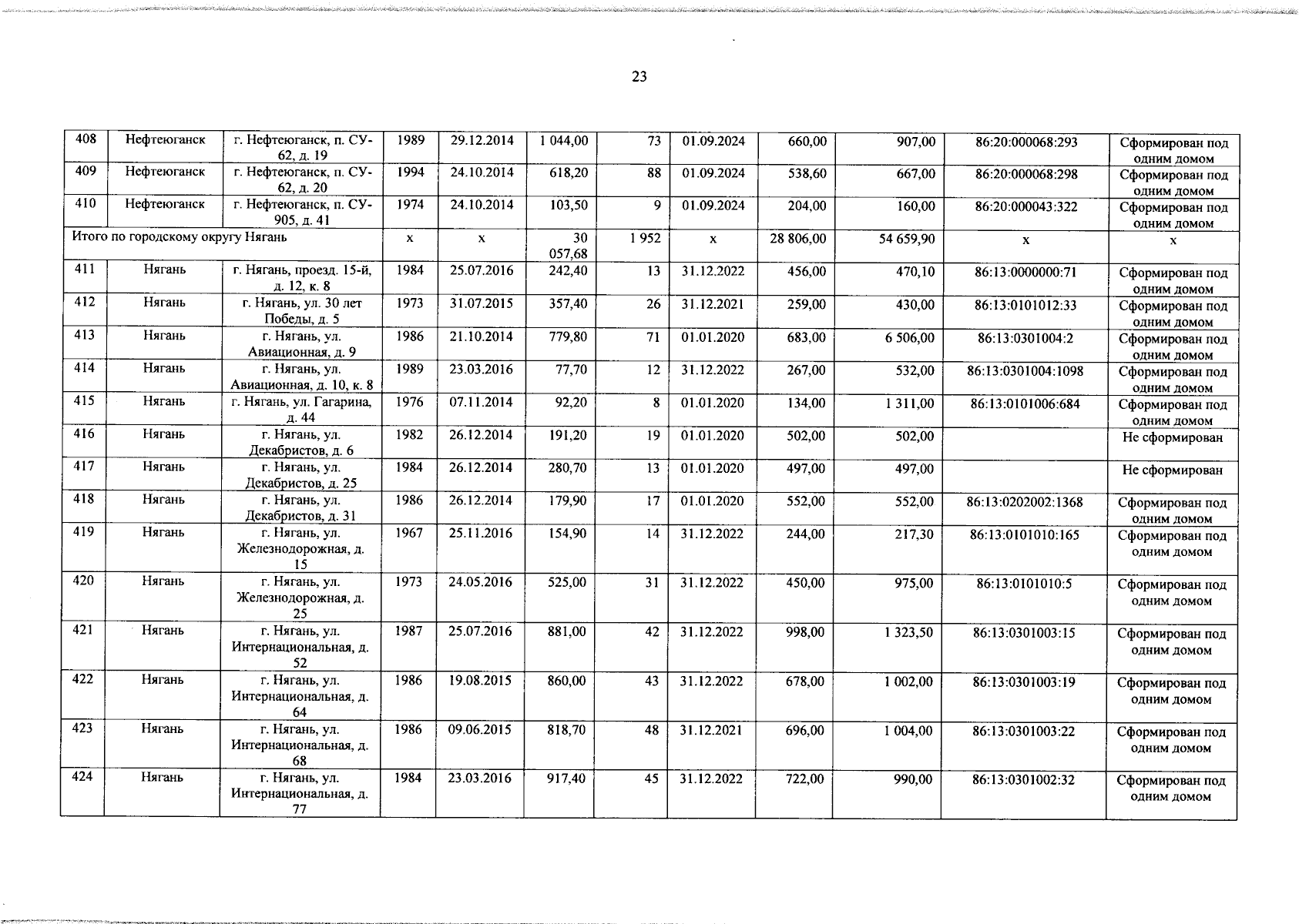
"О внесении изменений в приложение к постановлению Правительства Ханты-Мансийского автономного округа – Югры от 1 апреля 2019 года № 104-п "Об адресной программе Ханты-Мансийского автономного округа – Югры по переселению граждан из аварийного жилищного фонда на 2019-2025 годы"
Номер опубликования: 8600202312290020
Дата опубликования: 29.12.2023
Страница №23 из 87:
Увеличить