Официальное опубликование правовых актов
ОФИЦИАЛЬНОЕ ОПУБЛИКОВАНИЕ
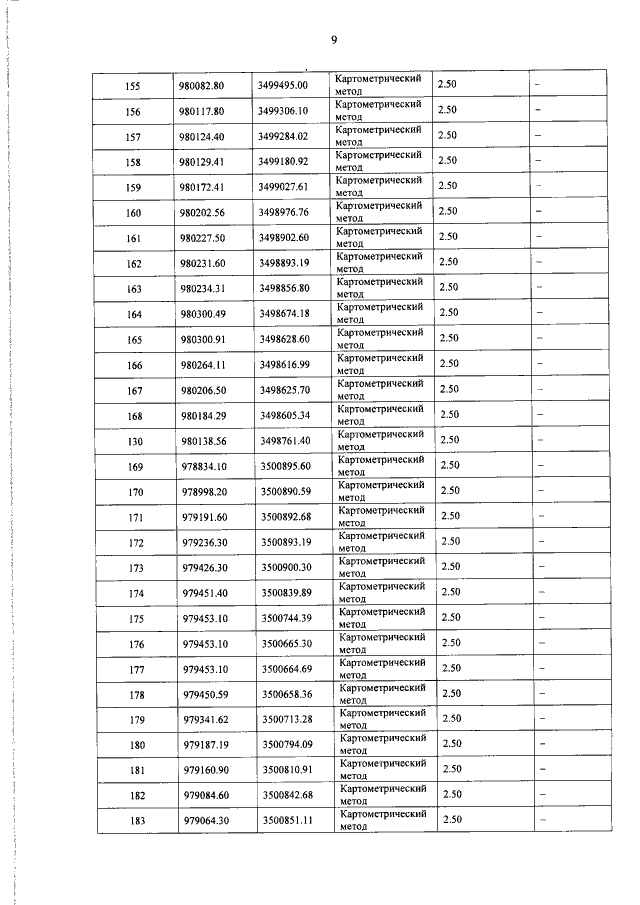
Постановление Правительства Ханты-Мансийского автономного округа - Югры от 12.05.2023 № 205-п
"О памятнике природы регионального значения "Тундринский кедровый бор"
Номер опубликования: 8600202305170006
Дата опубликования: 17.05.2023
Страница №9 из 20:
Увеличить