Официальное опубликование правовых актов
ОФИЦИАЛЬНОЕ ОПУБЛИКОВАНИЕ
Постановление Губернатора Ханты-Мансийского автономного округа - Югры от 01.03.2023 № 27
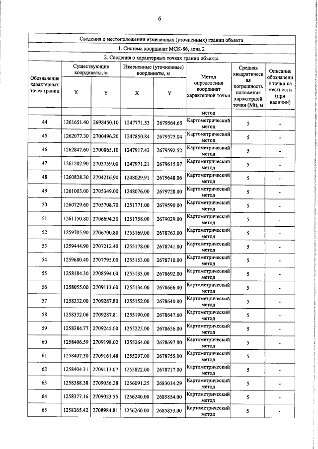
"О внесении изменений в постановление Губернатора Ханты-Мансийского автономного округа – Югры от 19 ноября 2020 года № 156 "О создании охранной зоны природного парка "Нумто"
Номер опубликования: 8600202303060002
Дата опубликования: 06.03.2023
Страница №6 из 48:
Увеличить