Официальное опубликование правовых актов
ОФИЦИАЛЬНОЕ ОПУБЛИКОВАНИЕ
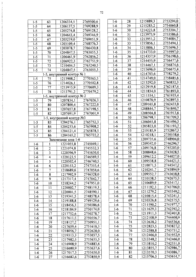
Постановление Правительства Ханты-Мансийского автономного округа - Югры от 20.05.2022 № 220-п
"О внесении изменений в приложение к постановлению Правительства Ханты-Мансийского автономного округа – Югры от 28 октября 2016 года № 415-п "О Положении о природном парке "Нумто"
Номер опубликования: 8600202205270019
Дата опубликования: 27.05.2022
Страница №72 из 95:
Увеличить