Официальное опубликование правовых актов
ОФИЦИАЛЬНОЕ ОПУБЛИКОВАНИЕ
Постановление Правительства Ханты-Мансийского автономного округа - Югры от 25.12.2020 № 618-п
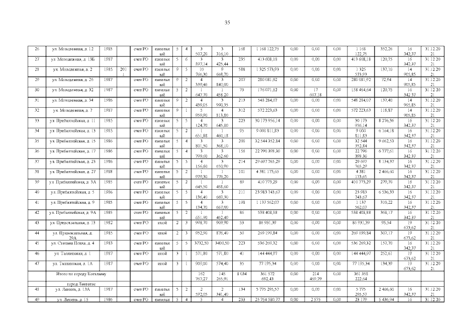
"О внесении изменения в постановление Правительства Ханты-Мансийского автономного округа – Югры от 26 апреля 2019 года № 136-п "О краткосрочном плане реализации программы капитального ремонта общего имущества в многоквартирных домах, расположенных на территории Ханты-Мансийского автономного округа – Югры, на 2020 – 2022 годы"
Номер опубликования: 8600202012300052
Дата опубликования: 30.12.2020
Страница №35 из 218:
Увеличить