Постановление Губернатора Ханты-Мансийского автономного округа - Югры от 19.11.2020 № 156
"О создании охранной зоны природного парка "Нумто"
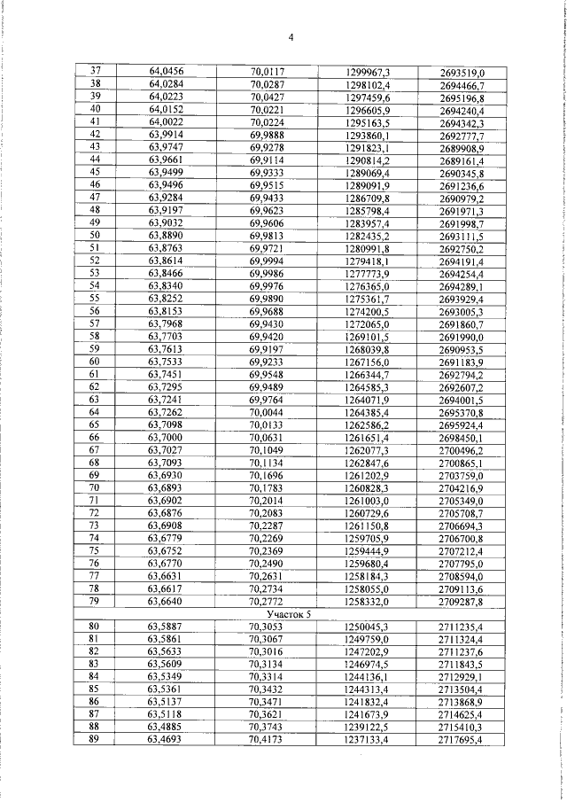
"О создании охранной зоны природного парка "Нумто"
Номер опубликования: 8600202011230001
Дата опубликования:
23.11.2020
