Официальное опубликование правовых актов
ОФИЦИАЛЬНОЕ ОПУБЛИКОВАНИЕ
Постановление Правительства Ханты-Мансийского автономного округа - Югры от 27.03.2020 № 99-п
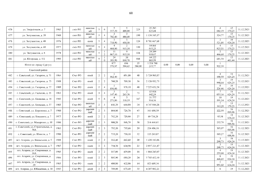
"О внесении изменения в постановление Правительства Ханты-Мансийского автономного округа – Югры от 26 апреля 2019 года № 136-п "О краткосрочном плане реализации программы капитального ремонта общего имущества в многоквартирных домах, расположенных на территории Ханты-Мансийского автономного округа – Югры, на 2020 – 2022 годы"
Номер опубликования: 8600202004020015
Дата опубликования: 02.04.2020
Страница №60 из 218:
Увеличить