Официальное опубликование правовых актов
ОФИЦИАЛЬНОЕ ОПУБЛИКОВАНИЕ
Постановление Правительства Ханты-Мансийского автономного округа - Югры от 15.02.2019 № 44-п
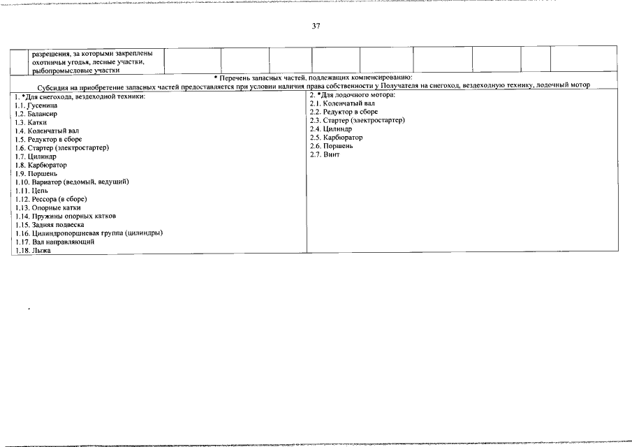
"О внесении изменений в постановление Правительства Ханты-Мансийского автономного округа – Югры от 5 октября 2018 года № 350-п "О государственной программе Ханты-Мансийского автономного округа – Югры "Устойчивое развитие коренных малочисленных народов Севера"
Номер опубликования: 8600201902200001
Дата опубликования: 20.02.2019
Страница №37 из 82:
Увеличить