Официальное опубликование правовых актов
ОФИЦИАЛЬНОЕ ОПУБЛИКОВАНИЕ
Постановление Правительства Ханты-Мансийского автономного округа - Югры от 18.01.2019 № 5-п
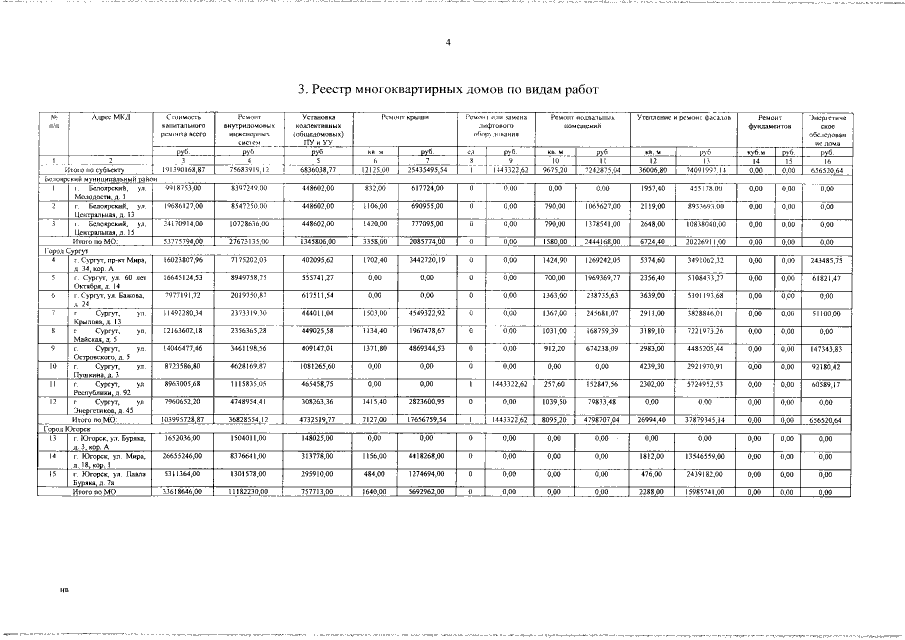
"Об итогах выполнения адресной программы Ханты-Мансийского автономного округа – Югры по проведению капитального ремонта многоквартирных домов на 2011 – 2012 годы"
Номер опубликования: 8600201901240005
Дата опубликования: 24.01.2019
Страница №4 из 5:
Увеличить