Официальное опубликование правовых актов
ОФИЦИАЛЬНОЕ ОПУБЛИКОВАНИЕ
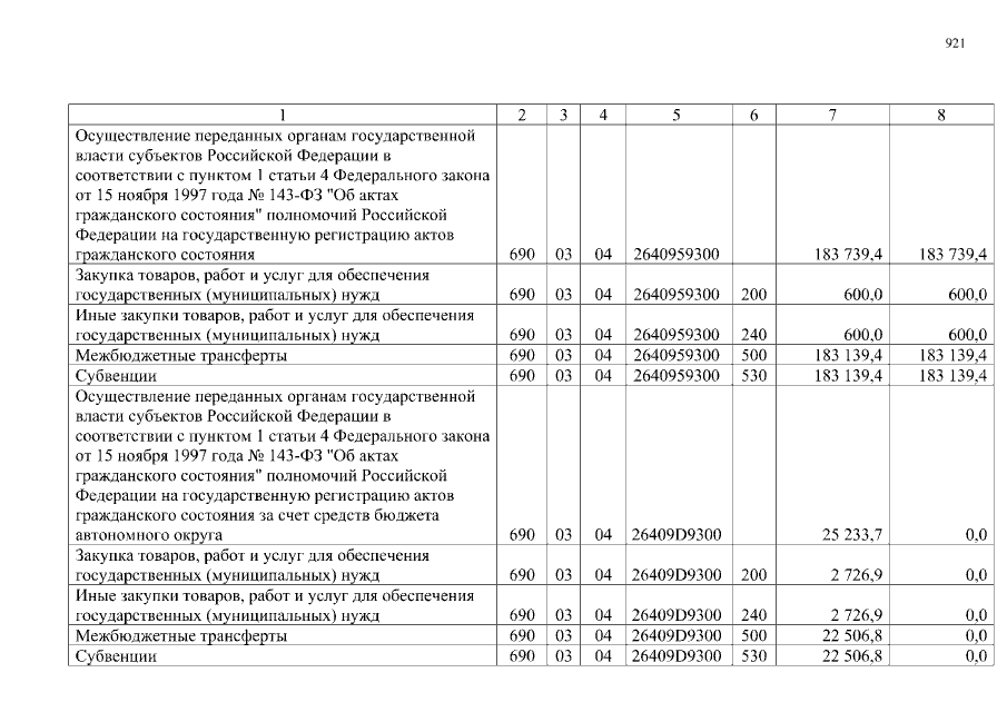
Закон Ханты-Мансийского автономного округа - Югры от 17.10.2018 № 67-оз
"О внесении изменений в Закон Ханты-Мансийского автономного округа – Югры "О бюджете Ханты-Мансийского автономного округа – Югры на 2018 год и на плановый период 2019 и 2020 годов"
Номер опубликования: 8600201810220022
Дата опубликования: 22.10.2018
Страница №921 из 970:
Увеличить