Постановление Правительства Ханты-Мансийского автономного округа - Югры от 03.08.2018 № 247-п
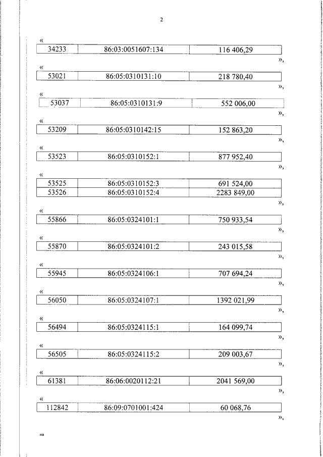
"О внесении изменений в приложение 1 к постановлению Правительства Ханты-Мансийского автономного округа — Югры от 7 августа 2015 года №249-п "Об утверждении результатов определения кадастровой стоимости земельных участков в составе земель населенных пунктов на территории Ханты-Мансийского автономного округа - Югры и признании утратившими силу некоторых постановлений Правительства Ханты-Мансийского автономного округа — Югры"
"О внесении изменений в приложение 1 к постановлению Правительства Ханты-Мансийского автономного округа — Югры от 7 августа 2015 года №249-п "Об утверждении результатов определения кадастровой стоимости земельных участков в составе земель населенных пунктов на территории Ханты-Мансийского автономного округа - Югры и признании утратившими силу некоторых постановлений Правительства Ханты-Мансийского автономного округа — Югры"
Номер опубликования: 8600201808080010
Дата опубликования:
08.08.2018
