Официальное опубликование правовых актов
ОФИЦИАЛЬНОЕ ОПУБЛИКОВАНИЕ
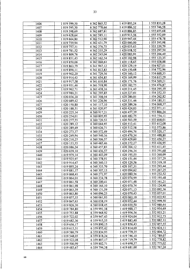
Постановление Правительства Ханты-Мансийского автономного округа - Югры от 22.02.2018 № 49-п
"О Соглашении между Ханты-Мансийским автономным округом – Югрой и Республикой Коми об описании местоположения границы между Ханты-Мансийским автономным округом – Югрой и Республикой Коми"
Номер опубликования: 8600201803010001
Дата опубликования: 01.03.2018
Страница №33 из 165:
Увеличить