Официальное опубликование правовых актов
ОФИЦИАЛЬНОЕ ОПУБЛИКОВАНИЕ
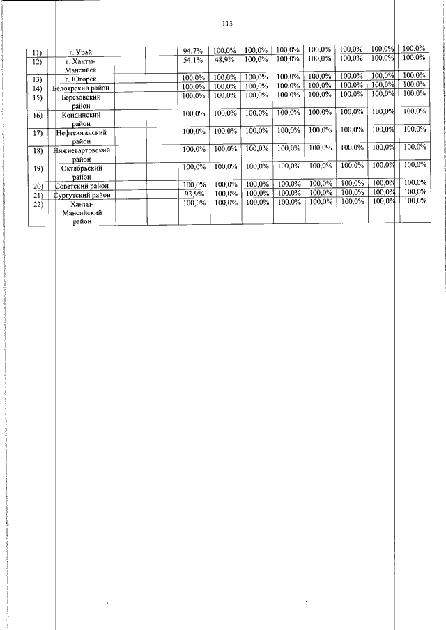
Постановление Правительства Ханты-Мансийского автономного округа - Югры от 17.11.2017 № 458-п
"О внесении изменений в постановление Правительства Ханты-Мансийского автономного округа – Югры от 9 октября 2013 года № 413-п "О государственной программе Ханты-Мансийского автономного округа – Югры "Развитие образования в Ханты-Мансийском автономном округе – Югре на 2016 – 2020 годы"
Номер опубликования: 8600201711230001
Дата опубликования: 23.11.2017
Страница №113 из 240:
Увеличить