Постановление Правительства Ханты-Мансийского автономного округа - Югры от 06.10.2017 № 382-п
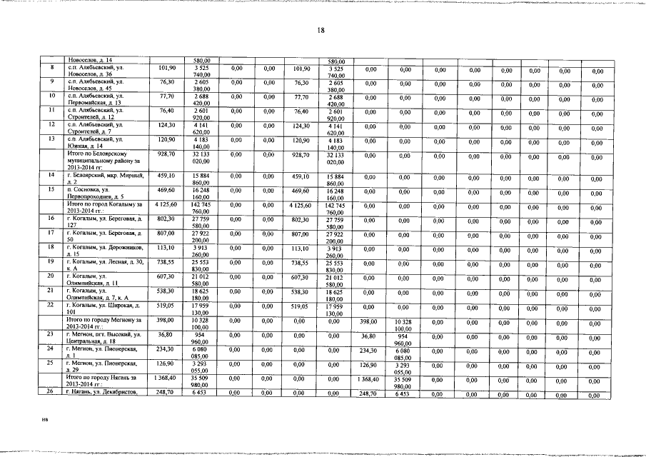
"О внесении изменений в приложение к постановлению Правительства Ханты-Мансийского автономного округа – Югры от 30 мая 2013 года № 211-п "Об адресной программе Ханты-Мансийского автономного округа – Югры по переселению граждан из аварийного жилищного фонда на 2013-2017 годы"
"О внесении изменений в приложение к постановлению Правительства Ханты-Мансийского автономного округа – Югры от 30 мая 2013 года № 211-п "Об адресной программе Ханты-Мансийского автономного округа – Югры по переселению граждан из аварийного жилищного фонда на 2013-2017 годы"
Номер опубликования: 8600201710120004
Дата опубликования:
12.10.2017
