Официальное опубликование правовых актов
ОФИЦИАЛЬНОЕ ОПУБЛИКОВАНИЕ
Постановление Правительства Ханты-Мансийского автономного округа - Югры от 30.09.2017 № 373-п
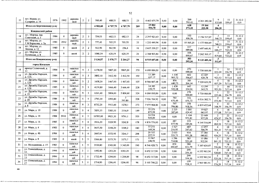
"О внесении изменения в постановление Правительства Ханты-Мансийского автономного округа – Югры от 2 сентября 2016 года № 334-п "О краткосрочном плане реализации программы капитального ремонта общего имущества в многоквартирных домах, расположенных на территории Ханты-Мансийского автономного округа - Югры, на 2017-2019 годы"
Номер опубликования: 8600201710050014
Дата опубликования: 05.10.2017
Страница №52 из 173:
Увеличить