Официальное опубликование правовых актов
ОФИЦИАЛЬНОЕ ОПУБЛИКОВАНИЕ
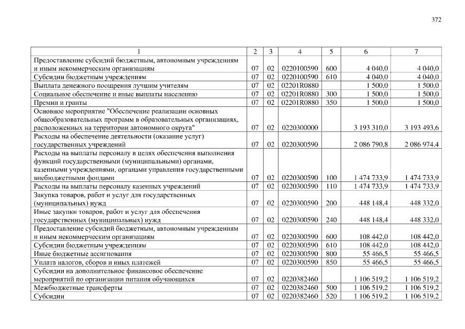
Закон Ханты-Мансийского автономного округа - Югры от 31.03.2017 № 8-оз
"О внесении изменений в Закон Ханты-Мансийского автономного округа - Югры "О бюджете Ханты-Мансийского автономного округа - Югры на 2017 год и на плановый период 2018 и 2019 годов"
Номер опубликования: 8600201704060062
Дата опубликования: 06.04.2017
Страница №372 из 1609:
Увеличить