Официальное опубликование правовых актов
ОФИЦИАЛЬНОЕ ОПУБЛИКОВАНИЕ
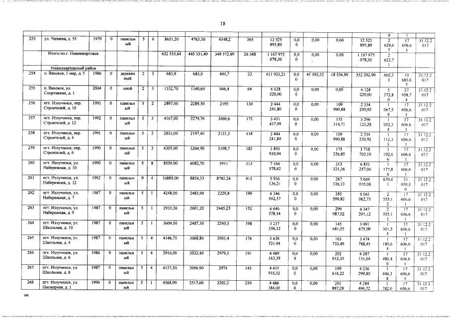
Постановление Правительства Ханты-Мансийского автономного округа - Югры от 24.03.2017 № 106-п
"О внесении изменения в постановление Правительства Ханты-Мансийского автономного округа – Югры от 2 сентября 2016 года № 334-п "О краткосрочном плане реализации программы капитального ремонта общего имущества в многоквартирных домах, расположенных на территории Ханты-Мансийского автономного округа – Югры, на 2017 – 2019 годы"
Номер опубликования: 8600201703290004
Дата опубликования: 29.03.2017
Страница №18 из 169:
Увеличить