Официальное опубликование правовых актов
ОФИЦИАЛЬНОЕ ОПУБЛИКОВАНИЕ
Постановление Правительства Ханты-Мансийского автономного округа - Югры от 24.03.2017 № 105-п
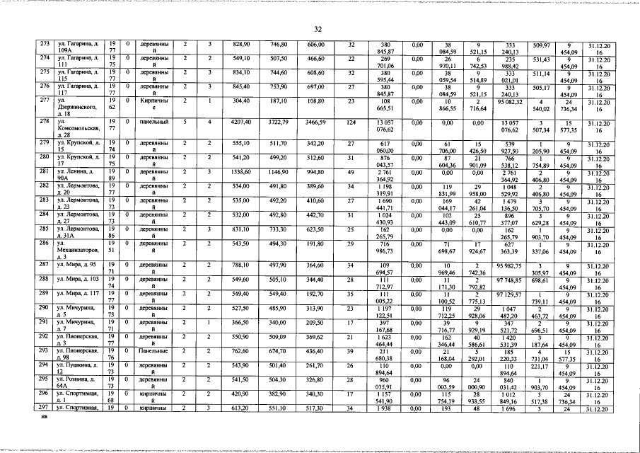
"О внесении изменения в постановление Правительства Ханты-Мансийского автономного округа – Югры от 5 июня 2014 года № 202-п "О краткосрочном плане реализации программы капитального ремонта общего имущества в многоквартирных домах, расположенных на территории Ханты-Мансийского автономного округа – Югры, на 2014 – 2016 годы"
Номер опубликования: 8600201703290001
Дата опубликования: 29.03.2017
Страница №32 из 96:
Увеличить