Официальное опубликование правовых актов
ОФИЦИАЛЬНОЕ ОПУБЛИКОВАНИЕ
Постановление Правительства Ханты-Мансийского автономного округа - Югры от 17.03.2017 № 89-п
"Об утверждении документации по планировке территории для размещения линейных объектов регионального значения Ханты-Мансийского автономного округа - Югры и о внесении изменений в постановление Правительства Ханты-Мансийского автономного округа - Югры от 18 ноября 2016 года № 457-п "Об утверждении документации по планировке территории для размещения линейных объектов регионального значения Ханты-Мансийского автономного округа - Югры и о внесении изменений в некоторые постановления Правительства Ханты-Мансийского автономного округа - Югры"
Номер опубликования: 8600201703210005
Дата опубликования: 21.03.2017
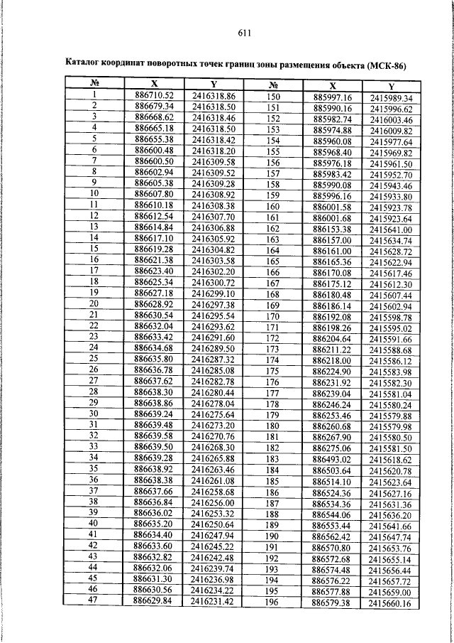
Страница №611 из 681:
Увеличить