Официальное опубликование правовых актов
ОФИЦИАЛЬНОЕ ОПУБЛИКОВАНИЕ
Постановление Губернатора Ханты-Мансийского автономного округа - Югры от 10.03.2017 № 27
"О внесении изменений в некоторые постановления Губернатора Ханты-Мансийского автономного округа – Югры"
Номер опубликования: 8600201703140011
Дата опубликования: 14.03.2017
Страница №12 из 13:
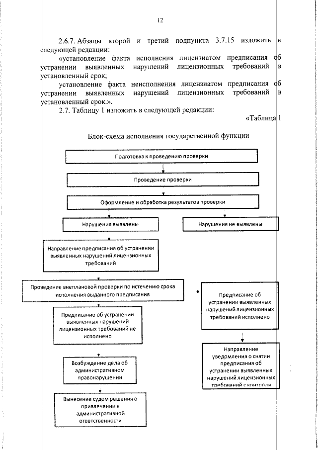
Увеличить